题目内容
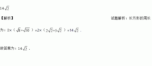
长方形的一边长为,另一边长为,则长方形的周长为________.
某芯片的电子元件的直径为0.0000034米,该电子元件的直径用科学记数法可以表示为( )
A. 0.34×10-6米 B. 3.4×10-6米 C. 34×10-5米 D. 3.4×10-5米
若函数有意义,则( )
A. x>1 B. x<1 C. x=1 D. x≠1
化简 (+2)的结果是( )
A. 2+2 B. 2+ C. 4 D. 3
计算 的结果是( )
A. B. C. D.
若与可以合并,则m的最小正整数值是( )
A. 18 B. 8 C. 4 D. 2
在平面直角坐标系xOy中如图,已知抛物线,经过点、.
(1)求此抛物线顶点C的坐标;
(2)联结AC交y轴于点D,联结BD、BC,过点C作,垂足为点H,抛物线对称轴交x轴于G,联结HG,求HG的长.
如图,正方形ABCD内接于半径为2的⊙O,则图中阴影部分的面积为
下列各式中,等号不成立的是