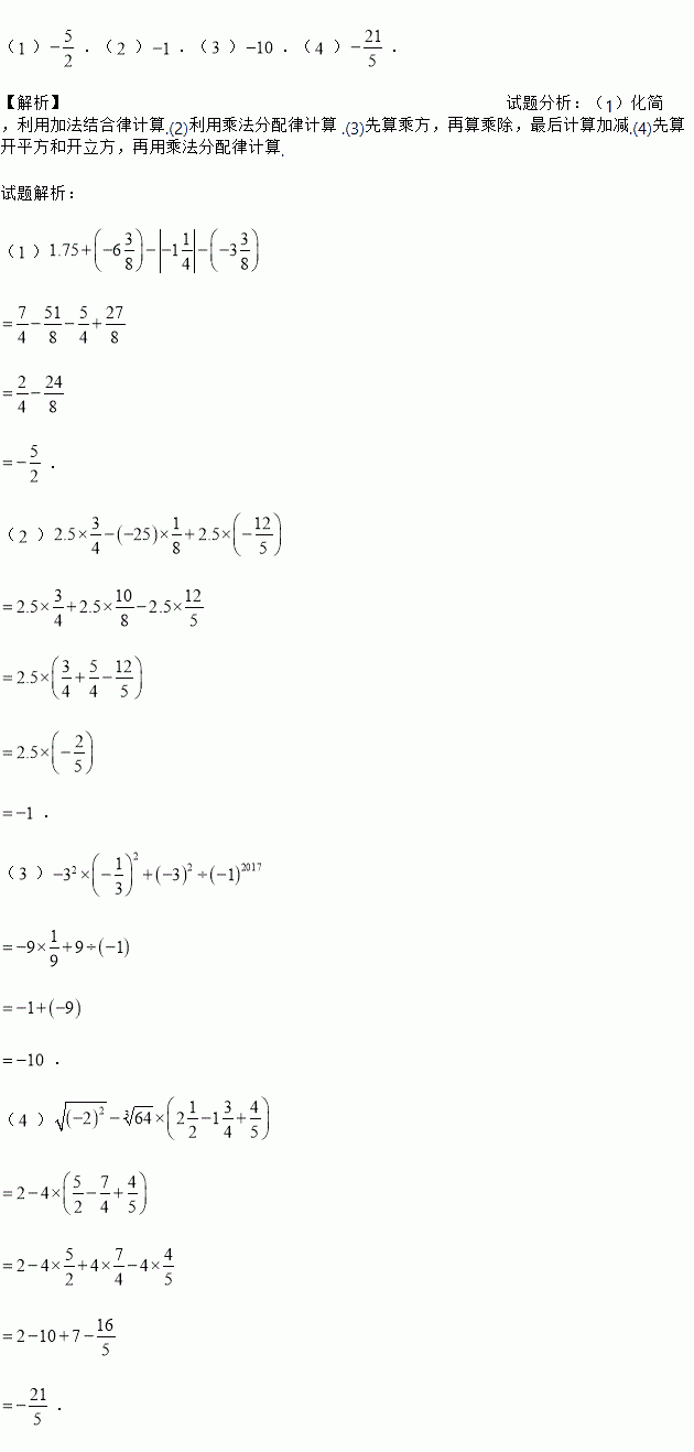
题目内容
(1).
(2).
(3).
(4).
为了丰富学生课外小组活动,培养学生动手操作能力,田田老师让学生把5m长的彩绳截成2m或1m长的彩绳,用来做手工编织,在不造成浪费的前提下,你有几种不同的截法(同种长度的彩绳不考虑截的先后循序)
A. 2 B. 3 C. 4 D. 5
要了解某地农户用电情况,抽查了部分农户在某地一个月中用电情况:用电15度的有3户,用电20度的有5户,用电30度的有2户,那么平均每户用电__________.
计算:
(1)+﹣()2;
计算: .
(1)计算: ;
(2)求满足条件的x值:(x-1)2=9.
(1);
(2).
已知:直线AB及直线AB外一点C,过点C作直线CD,使CD//AB. (要求:尺规作图,(保留作图痕迹,不写作法)
如图,在半径为5的⊙O中,AB、CD是互相垂直的两条弦,垂足为P,且AB=CD=8,则OP的长为( )
A. 3 B. 4 C. 3 D. 4