题目内容
服装店销售某款服装,一件服装的标价为300元,若按标价的八折销售,仍可获利60元,则这款服装每件的进价是______元.
若关于x、y的二元一次方程组的解满足x+y>﹣,求出满足条件的m的所有正整数值.
(3分)下列图形中既是轴对称图形,又是中心对称图形的是( )
A. B. C. D.
甲、乙两数这和为,甲数的倍等于乙数的倍,若设甲数为,乙数为,则方程组(1) (2)(3) (4)中,正确的有( )
A. 组 B. 组 C. 组 D. 组
如图,用8块相同的长方形地砖拼成一个长方形,每块长方形地砖的长和宽分别是多少?
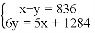
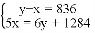
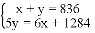
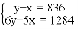
已知长江比黄河长836 km,黄河长的6倍比长江长的5倍多1 284 km.若设长江长x km,黄河长y km,则下列方程组能满足上述关系的是( )
A. B.
C. D.
一元一次方程的解是( )
若关于x的一元二次方程(k﹣1)x2+4x+1=0有两个不相等的实数根,则k的取值范围是( )
A. k<5 B. k<5,且k≠1 C. k≤5,且k≠1 D. k>5
扑克牌游戏中,小明背对小亮,让小亮按下列四个步骤操作:
①第一步:分发左、中、右三堆牌,每堆牌不少于三张,且各堆牌的张数相同;
②第二步:从左边一堆拿出三张,放入中间一堆;
③第三步:从右边一堆拿出两张,放入中间一堆;
④第四步:左边一堆有几张牌,就从中间一堆拿几张牌放入左边一堆.
这时,小明准确说出了中间一堆牌现有的张数,你认为中间一堆的张数是( )
A.3 B.5 C.7 D.8