题目内容
计算下列各式:
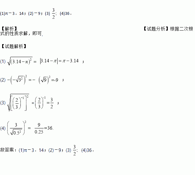
(1) (2)
(3) (4)
已知△ABC中,∠A=∠B=∠C,则它的三条边之比为( )
A. 1∶1∶ B. 1∶∶2 C. 1∶∶ D. 1∶4∶1
如图所示,有一条等宽的小路穿过长方形的草地ABCD,若AB=60m,BC=84m,AE=100m,则这条小路的面积是多少?
已知2<x<5,化简: =________________.
下列各式正确的是( )
A. B.
C. D.
表示二次根式的条件是______.
已知:如图,四边形ABCD,AD∥BC,AB=4,BC=6,CD=5,AD=3.
求:四边形ABCD的面积.
已知实数a满足,则 ______ .
已知9.972=99.400 9,9.982=99.600 4,9.992=99.800 1,则的值的个位数字为( )
A. 0 B. 4 C. 6 D. 8