题目内容
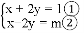
若方程组,则的值是_____.
在平面直角坐标系中,对于平面内任一点(m,n),规定以下两种变换:
(1)f(m,n)=(m,﹣n),如f(2,1)=(2,﹣1);
(2)g(m,n)=(﹣m,﹣n),如g (2,1)=(﹣2,﹣1)
按照以上变换有:f[g(3,4)]=f(﹣3,﹣4)=(﹣3,4),那么g[f(﹣3,2)]=_____.
反比例函数(为常数,)的图象位于( )
A. 第一、二象限 B. 第一、三象限
C. 第二、四象限 D. 第三、四象限
已知:如图,DE∥BC,EF∥AB,下列比例式正确的个数是( )
①;②;③.
A. 3个 B. 2个 C. 1个 D. 0个
已知关于的方程组 ,
(1)若用代入法求解,可由①得:= ③,把③代入②解得= ,将其代入③解得= ,∴原方程组的解为 ;
(2)若此方程组的解互为相反数,求这个方程组的解及的值.
已知且,则的值为( )
A. 0 B. 1 C. 2 D. 3
若方程组的解满足x+y=0,则a的取值是( )
A. a=-1 B. a=1 C. a=0 D. 不能确定
下列计算:①( )2=2;②=2;③(–2)2=12;④( +)(–)=–1.其中正确的有( )
A. 1个 B. 2个 C. 3个 D. 4个
如图所示,已知一次函数y=kx+b的图象与反比例函数的图象交于A,B两点,且点A的横坐标和点B的纵坐标都是.求:
(1)一次函数的表达式;
(2)△AOB的面积.