题目内容
在中,为直角,,于D,若,则AB的长度是( )
A. 8 B. 6 C. 4 D. 2
在一次主题为“学会生存”的中学生社会实践活动中,春华同学为了锻炼自己,他通过了解市场行情,以每件元的价格从批发市场购进若干件印有北京奥运标志的文化衫到自由市场去推销,当销售完件之后,销售金额达到元,余下的每件降价元,很快推销完毕,此时销售金额达到元,春华同学在这次活动中获得纯收入_______元.
如图,在平面直角坐标系中,点A是函数 图象上的点,过点A与y轴垂直的直线交y轴于点B,点C、D在x轴上,且BC∥AD.若四边形ABCD的面积为3,则k值为___________.
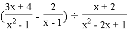
先化简,再求值:,其中.
若是一个完全平方式,则常数k的值为 .
点关于y轴的对称点的坐标是( )
A. B. C. D.
湖州市在2017年被评为“全国文明城市”,在评选过程中,湖州市环卫处每天需负责市区范围420千米城市道路的清扫工作,现有环卫工人直接清扫和道路清扫车两种马路清扫方式.已知20名环卫工人和1辆道路清扫车每小时可以清扫20千米马路,30名环卫工人和3辆道路清扫车每小时可以清扫42千米的马路.
(1)1名环卫工人和1辆道路清扫车每小时各能清扫多长的马路?
(2)已知2017年环卫处安排了50名环卫工人参与了直接清扫工作,为保证顺利完成每日的420千米清扫工作,需派出多少辆道路清扫车参与工作(已知2017年环卫工人与清扫车每天工作时间为6小时)?
(3)为了巩固文明城市创建成果,从2018年5月开始,环卫处新增了一辆清扫车参与工作,同时又增加了若干个环卫工人参与直接清扫,使得每日能够较早的完成清扫工作。2018年6月市环卫处扩大清扫范围60千米,同时又增加了20名环卫工人直接参与清扫,此时环卫工人和清扫车每日工作时间仍与5月份相同,那么2018年5月环卫处增加了多少名环卫工人参与直接清扫?
当x=1,px3+qx+1的值为2017,那么当x=-1,px3+qx+1的值为( )
A. -2015 B. -2016 C. -2017 D. 2016
如图,在矩形中,,.动点满足. 则点到,两点距离之和的最小值为( )