题目内容
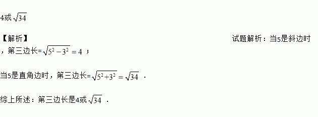
如果一直角三角形的两边长分别为3和5,则第三边长是_____
某药品原价每盒25元,为了响应国家解决老百姓看病贵的号召,经过连续两次降价,现在售价每盒16元,则该药品平均每次降价的百分率是_____%.
当m<0时,化简的结果是____.
麒麟区第七中学现有一块空地ABCD如图所示,现计划在空地上种草皮,经测量,∠B=90°,AB=3m,BC=4m,CD=13m,AD=12m.
(1)求出空地ABCD的面积?
(2)若每种植1平方米草皮需要300元,问总共需投入多少元?
计算:
(1) (2)(3+5)2
(3)4--(-4) (4)(2+5)(2-5)
化简的结果为( )
A. B. C. D.
如图,在平面直角坐标系xOy中,正比例函数y=x的图象与一次函数y=kx﹣k的图象的交点坐标为A(m,2).
(1)求m的值和一次函数的解析式;
(2)设一次函数y=kx﹣k的图象与y轴交于点B,求△AOB的面积;
(3)直接写出使函数y=kx﹣k的值大于函数y=x的值的自变量x的取值范围.
温家宝总理有一句名言:“多么小的问题,乘以13亿,都会变得很大,多么大的经济总量,除以13亿,都会变得很小”如果每人每天浪费0.01千克粮食,我国13亿人每天就浪费粮食( )
A. 1.3×105千克 B. 1.3×106千克 C. 1.3×107千克 D. 1.3×108千克
下列运算中,正确的是( )