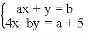
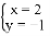
题目内容
小华看中的文化用品在甲、乙两商场以相同的价格销售,两商场采用的促销方式不同:
甲商场一次性购物超过100元,超过的部分8折优惠;乙商场一次性购物超过50元,超过部分9折优惠,那么她在甲商场购物超过多少元就比在乙商场购物优惠
练习册系列答案
相关题目
题目内容
小华看中的文化用品在甲、乙两商场以相同的价格销售,两商场采用的促销方式不同:
甲商场一次性购物超过100元,超过的部分8折优惠;乙商场一次性购物超过50元,超过部分9折优惠,那么她在甲商场购物超过多少元就比在乙商场购物优惠