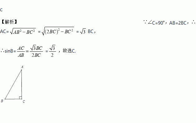
题目内容
如图,在Rt△ABC中,∠C=90°,AB=2BC,则sinB的值为( )
A. B. C. D. 1
计算的结果是( )
A. -8 B. 8 C. 16 D. -16
已知a>b,则下列不等式中不一定成立的是( )
A. a-2>b-2 B. a>b
C. -5a<-5b D. a2>ab
如图,每个小正方形的边长都是1,点A,B,C都在小正方形的顶点上,则∠ABC的正弦值为____。
如图,在⊙O中,弧AB=弧AC,∠AOB=50°,则∠ADC的度数是( )
A. 50° B. 45° C. 30° D. 25°
某校从参加计算机测试的学生中抽取了60名学生的成绩(40~100分)进行分析,并将其分成了六段后绘制成如图(6)所示的频数分布直方图(其中70~80段因故看不清),若60分以上(含60分)为及格,试根据图中信息来估计这次测试的及格率约为 .
调查某班级的学生对数学老师的喜欢程度,下列最具有代表性的样本是( )
A. 调查单数学号的学生 B. 调查所有的班级干部
C. 调查全体女生 D. 调查数学兴趣小组的学生
点A (2,-1)关于原点对称的点B的坐标是___________
如图所示,直线BC经过原点O,点A在x轴上,AD⊥BC于D,若B(m,3),C(n,-5),A(4,0),则AD·BC= .