搜索
题目内容
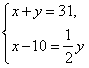
班上有男女同学31人,女生人数的一半比男生总数少10人,若设男生人数为
人,女生人数为
人,则可列方程组为( )
试题答案
相关练习册答案
练习册系列答案
寒假新天地寒假作业系列答案
寒假学程每天一练系列答案
寒假学习生活系列答案
寒假学习园地河南人民出版社系列答案
寒假学与练系列答案
德华书业寒假训练营学年总复习安徽文艺出版社系列答案
阳光假日寒假系列答案
蓝天教育寒假优化学习系列答案
寒假专题集训系列答案
步步高寒假专题突破练黑龙江出版社系列答案
相关题目
班上有男女同学31人,女生人数的一半比男生总数少10人,若设男生人数为x人,女生人数为y人,则可列方程组为
.
班上有男女同学31人,女生人数的一半比男生总数少10人,若设男生人数为x人,女生人数为y人,则可列方程组为________.
班上有男女同学31人,女生人数的一半比男生总数少10人,若设男生人数为x人,女生人数为y人,则可列方程组为( ).
关 闭
试题分类
高中
数学
英语
物理
化学
生物
地理
初中
数学
英语
物理
化学
生物
地理
小学
数学
英语
其他
阅读理解答案
已回答习题
未回答习题
题目汇总
试卷汇总
练习册解析答案