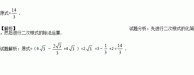
题目内容
化简:
.
练习册系列答案
相关题目
为配和新课程的实施,某市举行了“应用与创新”知识竞赛,共有1万名学生参加了这次竞赛(满分100分,得分全为整数)。为了解本次竞赛成绩情况,从中随机抽取了部分学生的竞赛成绩,进行统计,整理见下表:
组别 | 分 组 | 频 数 | 频率 |
1 | 49.5~59.5 | 60 | 0.12 |
2 | 59.5~69.5 | 120 | 0.24 |
3 | 69.5~79.5 | 180 | 0.36 |
4 | 79.5~89.5 | 130 | c |
5 | 89.5~99.5 | b | 0.02 |
合 计 | a | 1.00 | |
表中a=________,b=________, c=_______;若成绩在90分以上(含90分)的学生获一等奖,估计全市获一等奖的人数为___________.