搜索
题目内容
对于任意的有理数a、b、c、d,我们规定
如:
据这一规定,解答下列问题:
(1)化简
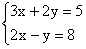
(2)若x、y同时满足
=5,
,求x、y的值.
试题答案
相关练习册答案
(1)2
+xy+3
;
(2)
解得
练习册系列答案
仁爱英语开心寒假系列答案
名题文化步步高书系寒假作业武汉出版社系列答案
Happy寒假作业快乐寒假系列答案
金象教育U计划学期系统复习寒假作业系列答案
八斗才火线计划寒假西安交通大学出版社系列答案
伴你成长橙色寒假系列答案
帮你学寒假作业系列答案
备战中考寒假系列答案
创新大课堂系列丛书寒假作业系列答案
创新自主学习寒假新天地系列答案
相关题目
对于任意的有理数a、b、c、d,我们规定
.
a
b
c
d
.
=ad-bc
.
如:
.
(-2)
(-4)
3
5
.
=(-2)×5-(-4)×3=2.根据这一规定,解答下列问题:
(1)化简
.
(x+3y)
2x
3y
(2x+y)
.
;
(2)若x、y同时满足
.
3
(-2)
y
x
.
=5,
.
x
1
y
2
.
=8
,求x、y的值.
对于任意的有理数a、b、c、d,我们规定:
.
a
c
b
d
.
=ad-bc,根据这一规定,解答下列问题:若x、y同时满足
.
x
(-6)
(-y)
5
.
=13,
.
3
(-y)
4
x
.
=4
,求
.
x
3
(-y)
-2
.
的值.
下列说法中,正确的是( )
A.对于任意的有理数,如果a+b=0,则|a|=|b|
B.对于任意的有理数,如果a≠0,b≠0,则a+b≠0
C.对于任意的有理数,如果|a|=|b|,则a+b=0
D.若|a|=7,|b|=10,则|a+b|=17
用“☆”定义一种新运算:对于任意的有理数a、b,都有a☆b=5a+2b,则(-2)☆3的值是( )
A.4
B.11
C.-16
D.-4
关于x的方程
2kx+a
3
=2+
x+bk
6
.
(1)若方程的解与的k值都是最大的负整数,且a与b互为相反数时,对于任意的有理数m,指出多项式(|m|+2k)y
a-b
+(2-m)y
a
+3y
3
+5y
2
-1的次数;
(2)若无论k为何值,方程的解总是1,求a,b的值.
关 闭
试题分类
高中
数学
英语
物理
化学
生物
地理
初中
数学
英语
物理
化学
生物
地理
小学
数学
英语
其他
阅读理解答案
已回答习题
未回答习题
题目汇总
试卷汇总
练习册解析答案