题目内容
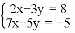
某商场第一次用10000元购进甲、乙两种商品,销售完成后共获利2200元,其中甲种商品每件进价60元,售价70元;乙种商品每件进价50元,售价65元.
(1)求该商场购进甲、乙两种商品各多少件?
(2)商场第二次以原进价购进甲、乙两种商品,且购进甲、乙商品的数量分别与第一次相同,甲种商品按原售价出售,而乙种商品降价销售,要使第二次购进的两种商品全部售出后,获利不少于1800元,乙种商品最多可以降价多少元?
练习册系列答案
相关题目
某粮仓原有大米132吨,某一周该粮仓大米的进出情况如下表:(当天运进大米8 吨,记作+8吨;当天运出大米15吨,记作﹣15吨.)
某粮仓大米一周进出情况表(单位:吨) | ||||||
星期一 | 星期二 | 星期三 | 星期四 | 星期五 | 星期六 | 星期日 |
﹣32 | +26 | ﹣23 | ﹣16 | m | +42 | ﹣21 |
(1)若经过这一周,该粮仓存有大米88吨,求m的值,并说明星期五该粮仓是运进还是运出大米,运进或运出大米多少吨?
(2)若大米进出库的装卸费用为每吨15元,求这一周该粮仓需要支付的装卸总费用.