题目内容
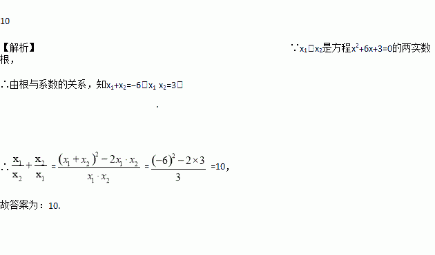
方程x2+6x+3=0的两个实数根为x1,x2,则=__________.
解下列一元二次方程:
(1)x2-2x=0;
(2)16x2-9=0;
(3)4x2=4x-1.
如图,BC是⊙O的弦,半径OA⊥BC,点D在⊙O上,且∠ADB=30°.求∠AOC的度数.
关于x的方程是一元二次方程,则a的取值范围是( )
A. a>0 B. a≥0 C. a=1 D. a≠0
若A(,y1),B(),C()为二次函数y=x2+4x﹣5的图象上三点,则y1,y2,y3的大小关系为_____<_____<_____.
在同一直角坐标系中,一次函数y=ax+c和二次函数y=ax2+c的图象大致为( )
A. B. C. D.
已知x=1是一元二次方程x2-2mx+1=0的一个解,则m的值是( )
A. 1 B. 0 C. 0或1 D. 0或-1
如图所示的是某个几何体的三视图.
(1)说出这个几何体的名称;
(2)根据图中的有关数据,求这个几何体的表面积.
如图,已知A(-4,n)、B(3,4)是一次函数y1=kx+b的图象与反比例函数的图象的两个交点,过点D(t,0)(0<t<3)作x轴的垂线,分别交双曲线和直线y1=kx+b于P、Q两点
(1) 直接写出反比例函数和一次函数的解析式
(2) 当t为何值时,S△BPQ=S△APQ
(3) 以PQ为边在直线PQ的右侧作正方形PQMN,试说明:边QM与双曲线(x>0)始终有交点