题目内容
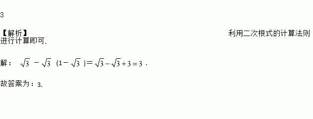
化简- (1-)的结果是_______.
如图所示,把图1中的圆A经过平移得到圆O(如图2),如果图1中圆A上一点P的坐标为(m,n),那么平移后在图2中的对应点P′的坐标为____________.
设n为正整数,且n-1<<n,则n的值为( ).
A. 9 B. 8 C. 7 D. 6
在平面直角坐标系中,点A(0,1)关于原点对称的点是_____.
不等式8-3x≥0的最大整数解是________.
计算: =________.计算的结果是________.
如图是甲、乙两人10次射击成绩的条形统计图,则甲、乙两人成绩比较稳定的是________.
﹣2017的倒数是( )
A. B. ﹣ C. 2017 D. ﹣2017
(2017江苏省苏州市)某校机器人兴趣小组在如图①所示的矩形场地上开展训练.机器人从点A出发,在矩形ABCD边上沿着A→B→C→D的方向匀速移动,到达点D时停止移动.已知机器人的速度为1个单位长度/s,移动至拐角处调整方向需要1s(即在B、C处拐弯时分别用时1s).设机器人所用时间为t(s)时,其所在位置用点P表示,P到对角线BD的距离(即垂线段 PQ的长)为d个单位长度,其中d与t的函数图象如图②所示.
(1)求AB、BC的长;
(2)如图②,点M、N分别在线段EF、GH上,线段MN平行于横轴,M、N的横坐标分别为t1、t2.设机器人用了t1(s)到达点P1处,用了t2(s)到达点P2处(见图①).若CP1+CP2=7,求t1、t2的值.