题目内容
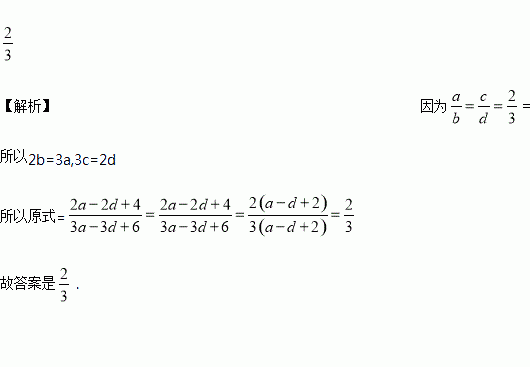
若,则的值为_________
随着电子技术的不断进步,电子元件的尺寸大幅度缩小,在芯片上某种电子元件大约只占0.00000065m2.这个数用科学记数法表示为_____m2.
如图,已知线段a、b、∠α,求作△ABC,使∠ABC=∠α,AB=a,BC=b.
如图,正方形ABCO的边OA、OC在坐标轴上,点B坐标为(3,3).将正方形ABCO绕点A顺时针旋转角度α(0°<α<90°),得到正方形ADEF,ED交线段OC于点G,ED的延长线交线段BC于点P,连AP、AG.
(1)求证:△AOG≌△ADG;
(2)求∠PAG的度数;并判断线段OG、PG、BP之间的数量关系,说明理由;
(3)当∠1=∠2时,求直线PE的解析式;
(4)在(3)的条件下,直线PE上是否存在点M,使以M、A、G为顶点的三角形是等腰三角形?若存在,请直接写出M点坐标;若不存在,请说明理由.
如图,在菱形ABCD中,AB=4cm,∠ADC=120°,点E、F同时由A、C两点出发,分别沿AB、CB方向向点B匀速移动(到点B为止),点E的速度为1cm/s,点F的速度为2cm/s,经过t秒△DEF为等边三角形,则t的值为 .
根据下列表格对应值:
判断关于的方程的一个解的范围是( )
A. <3.24 B. 3.24<<3.25 C. 3.25<<3.26 D. 3.25<<3.28
下列命题中正确的是( )
A. 有一组邻边相等的四边形是菱形 B. 有一个角是直角的平行四边形是矩形
C. 对角线垂直的平行四边形是正方形 D. 一组对边平行的四边形是平行四边形
某商店开展促销活动:购买原价超过元的商品,超过元的部分可以享受打折优惠.若购买商品的实际付款金额(单位:元)与商品原价(单位:元)的函数关系的图象如图所示,则超过元的部分可以享受的优惠是( ).
A. 打八折 B. 打七折 C. 打六折 D. 打五折
一艘轮船在静水中的最大航速为30km/h,它以最大航速沿顺流航行90km所用时间,与以最大航速逆流航行60km所用时间相等.设江水流速为vkm/h,则可列方程为_____.