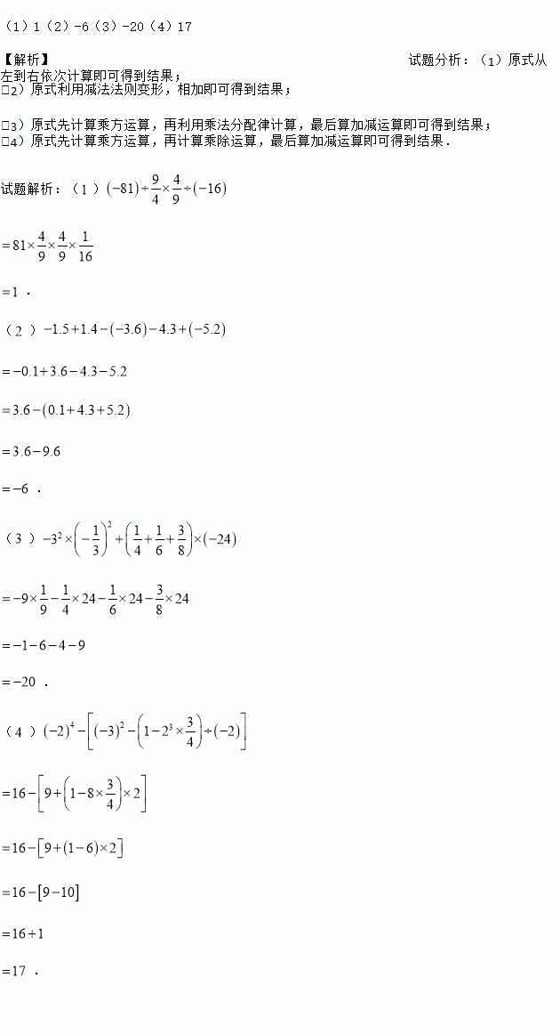
题目内容
计算:
().
下面四幅图是两物体不同时刻在太阳光下的影子,按照时间的先后顺序正确的是( )
A. ①②③④ B. ④②③① C. ③④①② D. ①③②④
(1)已知a﹣b=3,b+c=﹣5,求代数式ac﹣bc+a2﹣ab的值;
(2)若a=(2+),b=(2﹣),求a2b+ab2的值.
下列运算正确的是( )
A. 2a2+a=3a3 B. (﹣a)2÷a=a C. (﹣a)3•a2=﹣a6 D. (2a2)3=6a6
如图,一只甲虫在的方格(每小格边长为)上沿着网格线运动,网格线与网格线的交点为格点,甲虫从处出发去看望格点、、处的其它甲虫,若规定:向上向右走均为正,向下向左走均为负,如果从到记为:,从到记为:,其中第一个数表示左右方向,第二个数表示上下方向.
()图中__________.
()若这只甲虫从处出发,行走路线依次为,,,,最后在点停止运动,请在图中标出点的位置.
()若这只甲虫的行走路线为,则该甲虫走过的路程长度为__________.
()若图中另有两个格点、,且,,则应记为__________.
多项式是__________次__________项式.
在下列各数, , , , 中,负数有( ).
A. 个 B. 个 C. 个 D. 个
如图,已知△ABC,BC=10,BC边的垂直平分线交AB,BC于点E、D.若△ACE的周长为12,则△ABC的周长为_____.
如果2x=5y,则=____, =____.