题目内容
解方程:(1)(2x+1)2﹣x2=0 (2)2x2﹣7x+5=0
妈妈做了一份美味可口的菜品,为了了解菜品的咸淡是否适合,于是妈妈取了一点品尝,这应该属于________ .(填普查或抽样调查)
用配方法解一元二次方程x2﹣6x﹣4=0,下列变形正确的是( )
A. (x﹣6)2=﹣4+36 B. (x﹣6)2=4+36 C. (x﹣3)2=﹣4+9 D. (x﹣3)2=4+9
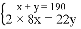
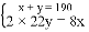
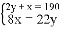
现用190张铁皮做盒子,每张铁皮做8个盒身或做22个盒底,而一个盒身与两个盒底配成一个盒子,设用x张铁皮做盒身,y张铁皮做盒底,则可列方程组为( )
A. B.
C. D.
“半角型”问题探究:如图1,在四边形ABCD中,AB=AD,∠BAD=120°,∠B=∠ADC=90°,且∠EAF=60°,探究图中线段BE,EF,FD之间的数量关系.小明同学的方法是将△ABE绕点A逆时针旋转120°到△ADG的位置,然后再证明△AFE≌△AFG,从而得出结论:EF=BE+DF
(1)如图2,在四边形ABCD中,AB=AD,∠B +∠D=180°,E,F分别是边BC,CD上的点,且∠EAF=∠BAD,上述结论是否仍然成立,并说明理由.
(2)实际应用:
如图3,在某次军事演习中,舰艇甲在指挥中心(O处)北偏西30°的A处,舰艇乙在指挥中心南偏东70°的B处,并且两舰艇到指挥中心的距离相等,接到行动指令后,舰艇甲向正东方向以60海里/小时的速度前进,舰艇乙沿北偏东50°的方向以80海里/小时的速度前进1.5小时后,指挥中心观测到甲、乙两舰艇分别到达E,F处,且两舰艇之间的夹角为70°,试求此时两舰艇之间的距离?
拓展提高
(3)如图4,边长为5的正方形ABCD中,点E、F分别在AB、CD上,AE=CF=1,O为EF的中点,动点G、H分别在边AD、BC上,EF与GH的交点P在O、F之间(与0、F不重合),且∠GPE=45°,设AG=m,求m的取值范围。
如图,已知△ABC中,AC+BC=24,AO、BO分别是角平分线,且MN∥BA,分别交AC于N、BC于M,则△CMN的周长为__.
不等式组的最小整数解是( )
A. -1 B. 0 C. 2 D. 3
一个不透明的袋中共有5个小球,分别为2个红球和3个黄球,它们除颜色外完全相同,随机摸出两个小球,摸出两个颜色相同的小球的概率为____.
如图,在△ABC和△ADE中,∠BAD=∠CAE,∠ABC=∠ADE.
(1)求证:△ABC∽△ADE;
(2)判断△ABD与△ACE是否相似?并证明.