题目内容
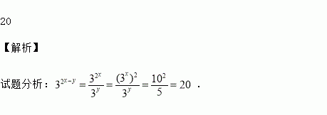
若3 x=10, 3 y=5,则32x—y = .
下列事件是必然事件的是( )
A. 某运动员射击一次击中靶心
B. 抛一枚硬币,正面朝上
C. 3个人分成两组,一定有2个人分在一组
D. 明天一定是晴天
某数为x,根据下列条件列方程.
(1)某数与8的差等于某数的与4的和.
(2)某数的与某数的的和等于3.
为创建园林城市,盐城市将对城区主干道进行绿化,计划把某一段公路的一侧全部栽上桂花树,要求路的两端各栽一棵,并且每两棵树的间隔相等.如果每隔6米栽1棵,则树苗缺22棵;如果每隔7米栽1棵,则树苗正好用完.设原有树苗x棵,则根据题意列出方程正确的是( )
A. 6(x+22)=7(x-1) B. 6(x+22-1)=7(x-1)
C. 6(x+22-1)=7x D. 6(x+22)=7x
解不等式组:,并写出它的非负整数解.
如图,在菱形ABCD中,AB的垂直平分线EF交对角线AC于点F,垂足为点E,连接DF,且∠CDF=24°,则∠DAB等于
A. 100° B. 104° C. 105° D. 110°
如图,AD是△ABC的角平分线,以AD为弦的⊙O交AB、AC于E、F,已知EF∥BC.
(1)求证:BC是⊙O的切线;
(2)若已知AE=9,CF=4,求DE长;
(3)在(2)的条件下,若∠BAC=60°,求tan∠AFE的值及GD长.
已知a2﹣2a﹣1=0,则a4﹣2a3﹣2a+1等于( )
A. 0 B. 1 C. 2 D. 3
先化简,再求值:(x﹣1)2+x(x+2),其中x=.