题目内容
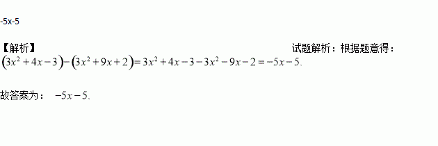
已知一个多项式与
的和等于
,则此多项式是___________.
练习册系列答案
相关题目
某产品每件成本
元.试销阶段每件产品的销售价
(元)与产品的日销售量
(件)之间的关系如下表:
|
|
|
|
|
|
|
|
|
|
|
|
已知,日销售量
是销售价
的一次函数.
(
)求日销售量
(件)与每件产品的销售价
(元)之间的函数表达式.
(
)当每件产品的销售价定为
元时,此时每日的销售利润是多少元?
根据下列表格的对应值,判断ax2+bx+c=0 (a≠0,a,b,c为常数)的一个解x的取值范围是_____
x | 3.23 | 3.24 | 3.25 | 3.26 |
ax2+bx+c | ﹣0.06 | ﹣0.02 | 0.03 | 0.09 |