题目内容
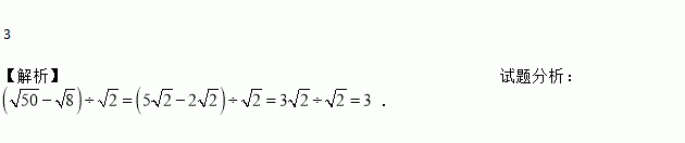
计算的结果是 .
如图,某同学把一块三角形的玻璃打碎成了三块,现在要到玻璃店去配一块完全一样的玻璃,那么最省事的办法是( )
A. 带①去 B. 带②去 C. 带③去 D. 带①和②去
若,则的值为________.
已知:如图,在菱形ABCD中,点E,O,F分别为AB,AC,AD的中点,连接CE,CF,OE,OF.
(1)求证:△BCE≌△DCF;
(2)当AB与BC满足什么关系时,四边形AEOF是正方形?请说明理由.
如图,将直线y=-x沿y轴向下平移后的直线恰好经过点A(2,-4),且与y轴交于点B,在x轴上存在一点P使得PA+PB的值最小,则点P的坐标为________.
如图,矩形ABCD的边BC在x轴上,点A在第二象限,点D在第一象限,AB=2,OD=4,将矩形ABCD绕点O旋转,使点D落在x轴上,则点C对应点的坐标是
A. (–,1) B. (–1,) C. (–1,)或(1,–) D. (–,1)或(1,–)
某养殖户每年的养殖成本包括固定成本和可变成本,其中固定成本每年均为4万元,可变成本逐年增长,已知该养殖户第1年的可变成本为2.6万元,设可变成本平均每年增长的百分率为x.
(1)用含x的代数式表示第3年的可变成本为 万元;
(2)如果该养殖户第3年的养殖成本为7.146万元,求可变成本平均每年增长的百分率.
函数y=﹣x2+2x+2的顶点坐标是()
A. (1,3) B. (﹣1,3) C. (1,﹣2) D. (﹣1,2)
计算: .