题目内容

如图,在平面直角坐标系中,点O为坐标原点,以点A(0,-3)为圆心,5为半径作圆A,交x轴于B、C两点,交y轴于点D、E两点.

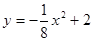
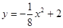
(1)如果一个二次函数图象经过B、C、D三点,求这个二次函数的解析式;
(2)设点P的坐标为(m,0)(m>5),过点P作x轴交(1)中的抛物线于点Q,当以为顶点的三角形与相似时,求点P的坐标.

(1);(2)

解析试题分析:(1)利用垂径定理求得线段OB和OC的长,从而求得B、C两点的坐标,利用待定系数法求得二次函数的解析式即可;
(2)作出图形利用相似三角形的对应边成比例列出有关未知数m的方程求解即可.
(1)连接AC,

∵以点A(0,-3)为圆心,5为半径作圆A,交x轴于B、C两点,交y轴于D、E两点.
∴AC=5、AO=3,
∴由勾股定理得:OC=OB=4
∴点B的坐标为(-4,0),点C的坐标为(4,0),点D的坐标为(0,2).
∵对称轴为y轴,
∴设二次函数的解析式为y=ax2+c


∴经过B、C、D三点的二次函数的解析式为
(2)∵P的坐标为(m,0)(m>5),
∴Q点的坐标为(m,
∴PC=m-4,PQ=
∵以O、C、D为顶点的三角形与△PCQ相似,
①当△ODC∽△PCQ时,


解得:m=12或m=4(因m>5,故舍去)
②当△OCD∽△PCQ时,


解得:m=0或4(因m>5,故舍去)
∴P点的坐标为:(12,0).
考点:二次函数解析式的确定及垂径定理的应用
点评:此类问题综合性强,难度较大,在中考中比较常见,题目比较典型.

练习册系列答案
相关题目

违法和不良信息举报电话:027-86699610 举报邮箱:58377363@163.com

精英家教网