题目内容
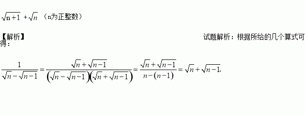
观察下列等式:①=+1;②=+;③=+;……,请用字母n表示你所发现的律:即=____________________。
小颖用几何画板软件探索方程ax2+bx+c=0的实数根,作出了如图所示的图象,观察得一个近似根为x1=-4.5,则方程的另一个近似根为x2=_______(精确到0.1).
如图,已知△ABC的∠ABC与∠ACB的外角平分线交于点D,求证:点D在∠BAC的平分线上.
在△ABC中,∠B=67°,∠C=33°,AD是△BAC的角平分线,则∠CAD的度数为( )
A. 40° B. 45° C. 59° D. 55°
先化简,在求值: ,其中a=-2
化简: ______, =________.
方程x2-4x-3=0根的情况是( )
A. 有两个不相等的实数根; B. 有两个相等的实数根;
C. 有一个实数根; D. 没有实数根
(2016·兰州中考)点P1(-1,y1),P2(3,y2),P3(5,y3)均在二次函数y=-x2+2x+c的图象上,则y1,y2,y3的大小关系是( )
A. y3>y2>y1 B. y3>y1=y2 C. y1>y2>y3 D. y1=y2>y3
如图,△ABC中,∠C=70,若沿图中虚线截去∠C,则∠1+∠2=( )
A. 360 B. 250 C. 180 D. 140