题目内容
若、互为相反数,、互为负倒数,则=_______.
植树时,为了使同一行树坑在一条直线上,只需定出两个树坑的位置,其中的数学道理是( )
A.两点之间线段最短
B.两点之间直线最短
C.两点确定一条射线
D.两点确定一条直线
(本题8分)如图,已知四边形ABCD是平行四边形,∠BCD的平分线CF交AB于点F,∠ADC的平分线DG交边AB于点G.
(1)试说明AF=GB;
(2)请你在已知条件的基础上再添加一个条件,使得△EFG为等腰直角三角形,并说明理由.
在四边形ABCD中,O是对角线的交点,能判定这个四边形是正方形的条件是( )
A. AC=BD,AB∥CD,AB=CD
B. AD∥BC,∠A=∠C
C. AO=BO=CO=DO,AC⊥BD
D. AO=CO,BO=DO,AB=BC
计算下列各题:
(1)+-
(2).
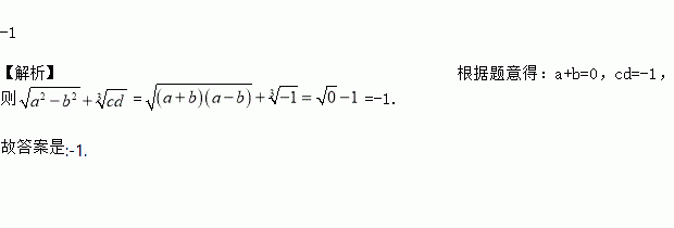
若,则x=__________
若a是(-3)2的平方根,则等于( )
A. —3 B. C. 或— D. 3或—3
如图,描述同位角、内错角、同旁内角关系不正确的是( )
A. ∠1与∠4是同位角 B. ∠2与∠3是内错角
C. ∠3与∠4是同旁内角 D. ∠2与∠4是同旁内角
当x满足 时,的值不小于﹣4且小于8.