题目内容
一次函数y=x-3的图象与x轴,y轴分别交于点A,B.一个二次函数y=x2+bx+c的图象经过点A,B.(1)求点A,B的坐标,并画出一次函数y=x-3的图象;
(2)求二次函数的解析式及它的最小值.
【答案】分析:(1)根据题意,一次函数y=x-3的图象与x轴,y轴分别交于点A,B;可令y=0,得x=3,得到A的坐标;令x=0,得y=-3,得到点B的坐标;
(2)二次函数y=x2+bx+c的图象经过点A,B;由(1)求得的AB的坐标,用待定系数法可得二次函数的解析式,进而求出最小值.
解答:
解:(1)令y=0,得x=3,
∴点A的坐标是(3,0),
令x=0,得y=-3,
∴点B的坐标是(0,-3).函数图象如右;
(2)∵二次函数y=x2+bx+c的图象经过点A,B,
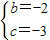
∴
,解得:
,
∴二次函数y=x2+bx+c的解析式是y=x2-2x-3,
∵y=x2-2x-3=(x-1)2-4,
∴函数y=x2-2x-3的最小值为-4.
点评:本题考查一次函数的性质及用待定系数法确定函数解析式.
(2)二次函数y=x2+bx+c的图象经过点A,B;由(1)求得的AB的坐标,用待定系数法可得二次函数的解析式,进而求出最小值.
解答:
∴点A的坐标是(3,0),
令x=0,得y=-3,
∴点B的坐标是(0,-3).函数图象如右;
(2)∵二次函数y=x2+bx+c的图象经过点A,B,
∴
∴二次函数y=x2+bx+c的解析式是y=x2-2x-3,
∵y=x2-2x-3=(x-1)2-4,
∴函数y=x2-2x-3的最小值为-4.
点评:本题考查一次函数的性质及用待定系数法确定函数解析式.
练习册系列答案
相关题目