某学校用420元钱到商场去购买“84”消毒液,经过还价,每瓶便宜0.5元,结果比用原价多买了20瓶,求原价每瓶多少元?若设原价每瓶元,则可列出方程为( )

A. B.

C. D.

B 【解析】设原价每瓶x元,根据某校用420元钱到商场去购买“84”消毒液,经过还价,每瓶便宜0.5元,结果比用原价多买了20瓶,可列方程. 【解析】 设原价每瓶x元, =20. 故选B.

若分式 的值为0,则x的值等于___________

-1 【解析】试题分析:因为当时分式的值为零,解得且,所以x=1.

若x2-6x+9与|y-2|互为相反数,则的值为__.

【解析】∵x2-6x+9与|y-2|互为相反数, ∴x2-6x+9+|y-2|=0, ∴(x-3)2+|y-2|=0, ∴x+3=0,y-2=0, ∴x=3,y=2, ∴+ = = = = = =.

小明用电脑录入汉字文稿的速度是他手抄汉字文稿速度的4倍,若小明手抄汉字文稿的速度为m个字/小时.那么他用电脑录入4000字文稿比手抄少用多少小时?

(小时). 【解析】试题分析:根据手抄录入时间-电脑录入时间=时间差列出代数式运算即可. 试题解析:根据题意,可得: 他用电脑录入4000字文稿比手抄少用小时.

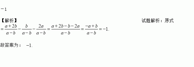
计算:=

x. 【解析】 试题分析:===x.故答案为:x.

如图,在△ABC中,AB=AC,BD⊥AC于D,CE⊥AB于E,BD、CE相交于F.

求证:AF平分∠BAC.

证明见解析. 【解析】试题分析:先根据AB=AC,可得∠ABC=∠ACB,再由垂直,可得90°的角,在△BCE和△BCD中,利用内角和为180°,可分别求∠BCE和∠DBC,利用等量减等量差相等,可得FB=FC,再易证△ABF≌△ACF,从而证出AF平分∠BAC. 试题解析:证明:∵AB=AC(已知), ∴∠ABC=∠ACB(等边对等角). ∵BD、CE分别是高, ∴...

如图,在等腰△ABC中,AB=AC,BD⊥AC,∠ABC=72°,则∠ABD=( )

A. 36° B. 54° C. 18° D. 64°

B 【解析】试题分析:根据等腰三角形的性质由已知可求得∠A=36°,再根据垂直的定义和三角形内角和定理不难求得∠ABD=90°﹣36°=54°. 故选:B.

(a-b)2 -3(a2+b2)

-2a2-2ab-2b2 【解析】试题分析:先根据完全平方公式计算,再合并同类项即可. 试题解析: (a-b)2 -3(a2+b2)=a2-2ab+b2-3a2-3b2=-2a2-2ab-2b2.

违法和不良信息举报电话:027-86699610 举报邮箱:58377363@163.com

精英家教网