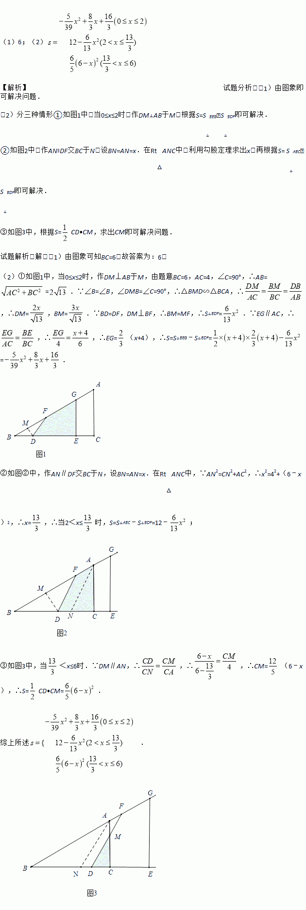
题目内容
如图 ,
中,
,线段
在射线
上,且
,线段
沿射线
运动,开始时,点
与点
重合,点
到达点
时运动停止,过点
作
,与射线
相交于点
,过点
作
的垂线,与射线
相交于点
.设
,四边形
与
重叠部分的面积为
关于
的函数图象如图所示(其中
时,函数的解析式不同)
(1)填空:
的长是 ;
(2)求
关于
的函数解析式,并写出
的取值范围.
![]()
练习册系列答案
相关题目
题目内容
如图 ,
中,
,线段
在射线
上,且
,线段
沿射线
运动,开始时,点
与点
重合,点
到达点
时运动停止,过点
作
,与射线
相交于点
,过点
作
的垂线,与射线
相交于点
.设
,四边形
与
重叠部分的面积为
关于
的函数图象如图所示(其中
时,函数的解析式不同)
(1)填空:
的长是 ;
(2)求
关于
的函数解析式,并写出
的取值范围.
![]()