题目内容
如图,∠1、∠2、∠3、∠4是五边形ABCDE的4个外角.若∠A=120°,则∠1+∠2+∠3+∠4= .
如图,△ABC中,∠B=90°,BC=2AB,则cos A=( )
A. B. C. D.
如图,△ABC中,∠A=36°,AB=AC,BD平分∠ABC,下列结论错误的是( )
A、∠C=2∠A B、BD=BC C、△ABD是等腰三角形 D、点D为线段AC的中点
分解因式结果为_____________.
下列四幅图案中,能通过图案1平移得到的是( )
A. (A) B. (B) C. (C) D. (D)
(1)如图①,OP是∠MON的平分线,点A为OM上一点,点B为OP上一点.请你利用该图形在ON上找一点C,使△COB≌△AOB,请在图①画出图形.参考这个作全等三角形的方法,解答下列问题:
(2)如图②,在△ABC中,∠ACB是直角,∠B=60°,AD、CE分别是∠BAC、∠BCA的平分线,AD、CE相交于点F.请你写出FE与FD之间的数量关系,并说明理由;
(3)如图③,在△ABC中,如果∠ACB不是直角,而(1)中的其他条件不变,在(2)中所得结论是否仍然成立?请你直接作出判断,不必说明理由.
如图,在△ABC中,D是BC上一点,AC=AD=DB,∠BAC=102°,则∠ADC=_____.
下列图标中是轴对称图形的是( )
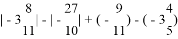
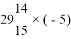
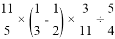
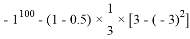
计算题
(1) (2)
(3) (4)(用简便方法计算,否则不得分)
(5)()×(-36) (6)
(7) (8)