题目内容
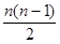
同一平面内的四条直线的交点的个数的所有可能值是________.同一平面内的n条直线的交点的最多个数是________.
6 ![]()
解析
练习册系列答案
相关题目
同一平面内的四条直线满足a⊥b,b⊥c,c⊥d,则下列式子成立的是
| A.a∥b | B.b⊥d | C.a⊥d | D.b∥c |
题目内容
同一平面内的四条直线的交点的个数的所有可能值是________.同一平面内的n条直线的交点的最多个数是________.
6 ![]()
解析
同一平面内的四条直线满足a⊥b,b⊥c,c⊥d,则下列式子成立的是
| A.a∥b | B.b⊥d | C.a⊥d | D.b∥c |