题目内容
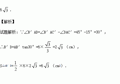
如图,等腰直角三角形ABC的直角边AB的长为6cm,将△ABC绕点A逆时针旋转15°后得到△AB′C′,则图中阴影部分面积等于 cm2.
如图,在□ABCD中,BE⊥AB交对角线AC于点E,若∠1=20°,则∠2的度数是_________.
在甲、乙两个不透明的布袋里,都装有3个大小、材质完全相同的小球,其中甲袋中的小球上分别标有数字0,1,2;乙袋中的小球上分别标有数字﹣1,﹣2,0.现从甲袋中任意摸出一个小球,记其标有的数字为x,再从乙袋中任意摸出一个小球,记其标有的数字为y,以此确定点M的坐标(x,y).
(1)请你用画树状图或列表的方法,写出点M所有可能的坐标;
(2)求点M(x,y)在函数y=﹣的图象上的概率.
如图,AB∥CD,DE⊥CE,∠1=34°,则∠DCE的度数为( )
A.34° B.54° C.66° D.56°
如图,在边长为2的正方形ABCD中,P为AB的中点,Q为边CD上一动点,设DQ=t(0≤t≤2),线段PQ的垂直平分线分别交边AD、BC于点M、N,过Q作QE⊥AB于点E,过M作MF⊥BC于点F.
(1)当t≠1时,求证:△PEQ≌△NFM;
(2)顺次连接P、M、Q、N,设四边形PMQN的面积为S,求出S与自变量t之间的函数关系式,并求S的最小值.
如图,抛物线y1=a(x+2)2-3与y2=(x-3)2+1交于点A(1,3),过点A作x轴的平行线,分别交两条抛物线于点B,C.则以下结论:
①无论x取何值,y2的值总是正数;
②a=1;
③当x=0时,y2-y1=4;
④2AB=3AC;
其中正确结论是( )
A.①② B.②③ C.③④ D.①④
一条葡萄藤上结有五串葡萄,每串葡萄的粒数如图所示(单位:粒).则这组数据的中位数为( )
A.37 B.35 C.33.8 D.32
若△ABC的一边为4,另两边分别满足x2-5x+6=0的两根,则△ABC的周长为 .
下列图形中,既是轴对称图形,又是中心对称图形的是( )