题目内容
计算:|2﹣|的相反数是_____.
吉林省某大学的校门是一抛物线形水泥建筑物,大门的地面宽度为8米,两侧距P地面4米高处各有一个挂校名横匾用的铁环,两铁环的水平距离为6米,则校门的高为(精确到0.1米,水泥建筑物厚度忽略不计)( )
A. 9.2米 B. 9.1米 C. 9米 D. 5.1米
反比例函数,当,,那么________.
已知点在反比例函数为常数,的图象上,则这个反比例函数的大致图象是( )
A. B. C. D.
(1)计算:
(2)解不等式组
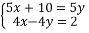
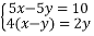
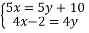
甲、乙两人从A地出发,沿同一方向练习跑步,如果甲让乙先跑10米,则甲跑5秒就可追上乙,如果甲让乙先跑2秒,那么甲跑4秒就能追上乙,设甲、乙每秒钟分别跑米和y米,则可列方程组为
已知实数a,b,若a>b,则下列结论错误的是( )
A. a-5>b-5 B. 3+a>b+3
C. > D. -3a>-3b
如图,根据2013﹣2017年某市财政总收入(单位:亿元)统计图所提供的信息,下列判断正确的是( )
A. 2013~2017年财政总收入呈逐年增长
B. 预计2018年的财政总收入约为253.43亿元
C. 2014~2015年与2016~2017年的财政总收入下降率相同
D. 2013~2014年的财政总收入增长率约为6.3%
二次函数y=x2﹣6x+n的部分图象如图所示,若关于x的一元二次方程x2﹣6x+n=0的一个解为x1=1,则另一个解x2=_____.