题目内容
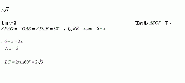
将矩形纸片ABCD按如图所示的方式折叠,得到菱形AECF.若AB=6,则BC的长为 __.
如图,为了检验教室里的矩形门框是否合格,某班的四个学习小组用三角板和细绳分别测得如下结果,其中不能判定门框是否合格的是( )
A. AB=CD,AD=BC,AC=BD B. AC=BD,∠B=∠C=90° C. AB=CD,∠B=∠C=90° D. AB=CD,AC=BD
先化简,在选择一个你喜欢的整数代入求值.
若a+b+c=0,且abc≠0,则a(+)+b(+)+c(+ )的值为( )
A. 1 B. 0 C. ﹣1 D. ﹣3
由于持续高温和连日无雨,某水库的蓄水量随时间的增加而减少,已知原有蓄水量y1(万m3)与干旱持续时间x(天)的关系如图中线段l1所示,针对这种干旱情况,从第20天开始向水库注水,注水量y2(万m3)与时间x(天)的关系如图中线段l2所示(不考虑其它因素).
(1)求原有蓄水量y1(万m3)与时间x(天)的函数关系式,并求当x=20时的水库总蓄水量.
(2)求当0≤x≤60时,水库的总蓄水量y(万m3)与时间x(天)的函数关系式(注明x的范围),若总蓄水量不多于900万m3为严重干旱,直接写出发生严重干旱时x的范围.
已知一组数据a、b、c的平均数为5,方差为4,那么数据a+2、b+2、c+2的平均数和方差分别为( )
A. 7,6 B. 7,4 C. 5,4 D. 以上都不对
如图,△ABC和△DCE都是等边三角形,点B、C、E在同一条直线上,BC=1,CE=2,连接BD,则BD的长为( )
A. 3 B. 2 C. 2 D.
有两根大小、形状完全相同的铁丝,甲铁丝与投影面的夹角是45°,乙铁丝与投影面的夹角是30°,那么两根铁丝在投影面的正投影的长度的大小关系是:甲____乙(填“>”“<”或“=”).
观察下列运算过程:S=1+3+32+33+…+32012+32013 ①,
①×3得3S=3+32+33+…+32013+32014 ②,
②﹣①得2S=32014﹣1,S=.
运用上面计算方法计算:1+5+52+53+…+52013= .