题目内容
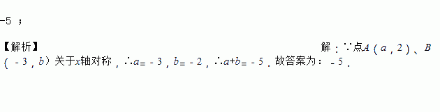
已知点关于轴对称,则 = ________ .
对于抛物线y=﹣(x+2)2+3,下列结论中正确结论的个数为( )
①抛物线的开口向下; ②对称轴是直线x=﹣2;
③图象不经过第一象限; ④当x>2时,y随x的增大而减小.
A. 4 B. 3 C. 2 D. 1
当a<0时,化简: =________.
先化简后,再求值: ,其中 .
如图,边长为m+4的正方形纸片剪出一个边长为m的正方形之后,剩余部分可剪拼成一个矩形,若拼成的矩形一边长为4,则另一边长为______.
已知关于x的方程①和②问是否存在这样的n值,使方程①的两个实数根的差的平方等于方程②的一整数根?若存在,求出这样的n值;若不存在,请说明理由.
设x,y为实数,则代数式2x2+4xy+5y2-4x+2y+5的最小值为________.
在△ABC中,∠A、∠B都是锐角,且sinA=cosB=,那么△ABC的形状是( )
A.钝角三角形 B.直角三角形 C.锐角三角形 D.无法确定
如图,平分,,∥,于点,,则______.