题目内容
解方程:
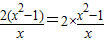
【答案】分析:由于
,
,出现互为倒数的两个分式,设
=y,将原方程转化为关于y的分式方程,先求y,再求x,结果要检验.
解答:解:设
=y,
则原方程可化为
3y+
=5.
∴3y2-5y+2=0
解得,y=1,或y=
.
当y=1时,
=1,
∴x2-x-1=0.
解得,x=
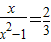
当y=
时,
,
∴2x2-3x-2=0.
解得,x=-
,或x=2.
经检验,它们都是原方程的根.
∴原方程的根是x1=
,x2=
,x3=-
,x4=2.
点评:本题中的两个式子互为倒数,可设其中的一个为y,那么另一个为它的倒数.
解答:解:设
则原方程可化为
3y+
∴3y2-5y+2=0
解得,y=1,或y=
当y=1时,
∴x2-x-1=0.
解得,x=
当y=
∴2x2-3x-2=0.
解得,x=-
经检验,它们都是原方程的根.
∴原方程的根是x1=
点评:本题中的两个式子互为倒数,可设其中的一个为y,那么另一个为它的倒数.
练习册系列答案
相关题目