题目内容
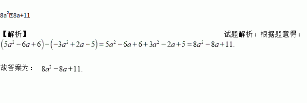
已知一个多项式与﹣3a2+2a﹣5的和等于5a2﹣6a+6,则这个多项式是_____.
据统计,全球每分钟约有8500000吨污水排入江河湖海,则每分钟的排污量用科学记数法表示应是___________吨.
在数轴上表示下列各数:3,﹣3,0,﹣1.5,并把所有的数用“<”号连接起来.
给出下列判断:①单项式5×103x2的系数是5;②x﹣2xy+y是二次三项式;③多项式﹣3a2b+7a2b2﹣2ab+1的次数是9;④几个有理数相乘,当负因数有奇数个时,积为负.其中判断正确的是( )
A. 1个 B. 2个 C. 3个 D. 4个
计算题:
(1)18+12﹣15+(﹣17);(2)(﹣5)×3+(﹣6)÷(﹣2);
(3)(﹣﹣)×(﹣24);(4)﹣22+[12﹣(﹣3)×2]÷(﹣3)
下列等式成立的是( )
A. ﹣32=(﹣3)2 B. ﹣23=(﹣2)3 C. ﹣32=(﹣2)2 D. ﹣3×23=﹣33×2
下列各有理数中,最小的数是( )
A. ﹣1 B. 2 C. 0 D. ﹣
如图,若△OAD≌△OBC,且∠0 =65,∠C =20,则∠OAD= .
如图所示某长方形广场的四角都有一块半径相同的四分之一圆形的草地.若圆形半径为r米,长方形的长为a米每款为b米
(1)请用含a、b和r的代数式表示空地的面积.
(2)若长方形长a为300米,宽b为200米,圆形的半径r为10米,求广场空地的面积.(结果保留π)