ÌâÄ¿ÄÚÈÝ

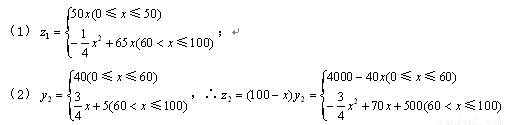
»Æ¸ÔÊÐÓ¢É½ÏØÓÐÒ»¸ö²èÒ¶³§£¬¸Ã³§µÄ²èÒ¶Ö÷ÒªÓÐÁ½ÖÖÏúÊÛ·½Ê½£¬Ò»ÖÖ·½Ê½ÊÇÂô¸ø²èÒ¶¾­ÏúÉÌ£¬ÁíÒ»ÖÖ·½Ê½ÊÇÔÚ¸÷³¬ÊеĹñ̨½øÐÐÏúÊÛ£¬Ã¿Äê¸Ã³§Éú²úµÄ²èÒ¶¶¼¿ÉÒÔÈ«²¿ÏúÊÛ£¬¸Ã²èÒ¶³§Ã¿Äê¿ÉÒÔÉú²ú²èÒ¶100ÍòºÐ£¬ÆäÖУ¬Âô¸ø²èÒ¶¾­ÏúÉÌÿºÐ²èÒ¶µÄÀûÈóy1£¨Ôª£©ÓëÏúÊÛÁ¿x£¨ÍòºÐ£©Ö®¼äµÄº¯ÊýͼÈçͼËùʾ£»ÔÚ¸÷³¬Êйñ̨ÏúÊÛµÄÿºÐÀûÈóy2£¨Ôª£©ÓëÏúÊÛÁ¿x£¨ÍòºÐ£©Ö®¼äµÄº¯Êý¹ØÏµÎª£º

£¨1£©Ð´³ö¸Ã²èÒ¶³§Âô¸ø²èÒ¶¾­ÏúÉ̵ÄÏúÊÛ×ÜÀûÈó£¨ÍòÔª£©ÓëÆäÏúÊÛÁ¿x£¨ÍòºÐ£©Ö®¼äµÄº¯Êý¹ØÏµÊ½£¬²¢Ö¸³öxµÄȡֵ·¶Î§£»

£¨2£©Çó³ö¸Ã²èÒ¶³§ÔÚ¸÷³¬Êйñ̨ÏúÊÛµÄ×ÜÀûÈó£¨ÍòÔª£©ÓëÂô¸ø²èÒ¶¾­ÏúÉ̵ÄÏúÊÛÁ¿x£¨ÍòºÐ£©Ö®¼äµÄº¯Êý¹ØÏµÊ½£¬²¢Ö¸³öxµÄȡֵ·¶Î§£»

£¨3£©Çó¸Ã²èÒ¶³§Ã¿ÄêµÄ×ÜÀûÈów£¨ÍòÔª£©ÓëÂô¸ø²èÒ¶¾­ÏúÉ̵ÄÏúÊÛÁ¿x£¨ÍòºÐ£©Ö®¼äµÄº¯Êý¹ØÏµÊ½£¬²¢°ïÖú¸Ã²èÒ¶³§È·¶¨Âô¸ø²èÒ¶¾­ÏúÉ̺ÍÔÚ¸÷³¬Êйñ̨µÄÏúÁ¿¸÷Ϊ¶àÉÙÍòºÐʱ£¬¸Ã¹«Ë¾µÄÄêÀûÈó×î´ó£¿

 

¡¾´ð°¸¡¿

 

 

£¨3£©1¡ã  µ±Ê±£¬.

¡ß10>0£¬¡àWËæxµÄÔö´ó¶øÔö´ó£¬¡àµ±x=60ʱ£¬ÍòÔª.

2¡ã  µ±Ê±£¬£¬

¡ßÇÒxΪÕýÕûÊý£¬¡àµ±x=67»ò68ʱ£¬£¬

¡ß4600£¾5056 ¡àµ±x=67»ò68ʱ£¬ÄêÀûÈó×î´ó£¬

 ¡àµ±Âô¸ø²èÒ¶¾­ÏúÉÌ37ÍòºÐ£¬ÔÚ¸÷³¬Êйñ̨ÏúÊÛ67ÍòºÐ»òÂô¸ø²èÒ¶¾­ÏúÉÌ32ÍòºÐ£¬ÔÚ¸÷³¬Êйñ̨ÏúÊÛ68ÍòºÐʱ£¬¸Ã¹«Ë¾µÄÄêÀûÈó×î´ó.

¡¾½âÎö¡¿£¨1£©µ±0£¼x£¼60ʱ£¬¿ÉÖ±½ÓµÃ³ö¸ÃʳƷ³§Âô¸øÊ³Æ·¾­ÏúÉ̵ÄÏúÊÛ×ÜÀûÈó£¬ÔÙ¸ù¾Ýµ±60¡Üx¡Ü100ʱ£¬Ã¿ºÐʳƷµÄÀûÈóy1£¨Ôª£©ÓëÏúÊÛÁ¿x£¨ÍòºÐ£©Ö®¼äµÄº¯ÊýͼÏó¹ý£¨60£¬5£©£¨100£¬4£©µã£¬µÃ³ö×îºó³ËÒÔÆäÏúÊÛÁ¿x¼´¿ÉµÃ³ö´ð°¸£»

£¨2£©¸ù¾ÝÔÚ¸÷³¬Êйñ̨ÏúÊÛµÄÿºÐÀûÈó£¨Ôª£©ÓëÏúÊÛÁ¿x£¨ÍòºÐ£©Ö®¼äµÄº¯Êý¹ØÏµ£¬ÓóËÒÔÂô¸ø¸÷³¬Êйñ̨µÄÏúÊÛÁ¿¼´¿ÉµÃ³ö´ð°¸£»

£¨3£©·Ö±ðÇó³öµ±0¡Üx£¼40£¬40¡Üx£¼60£¬60¡Üx¡Ü100ʱ¸ÃʳƷ³§Ã¿ÄêµÄ×ÜÀûÈów£¨ÍòÔª£©ÓëÂô¸øÊ³Æ·¾­ÏúÉ̵ÄÏúÊÛÁ¿x£¨ÍòºÐ£©Ö®¼äµÄº¯Êý¹ØÏµÊ½Îª£¬ÔÙ·Ö±ðÇó³ö´Ëʱ×î´óÀûÈ󣬼´¿ÉµÃ³öËùÒÔ¸ÃʳƷ³§È·¶¨Âô¸ø¸÷³¬Êйñ̨µÄÏúÁ¿¶àÉÙÍòºÐʱ£¬¸Ã¹«Ë¾µÄÄêÀûÈó×î´ó£®

 

Á·Ï°²áϵÁдð°¸
Ïà¹ØÌâÄ¿

Î¥·¨ºÍ²»Á¼ÐÅÏ¢¾Ù±¨µç»°£º027-86699610 ¾Ù±¨ÓÊÏ䣺58377363@163.com

¾«Ó¢¼Ò½ÌÍø