题目内容
求不等式组的整数解.
如图,△ABC中,CD⊥AB于D,E是AC的中点.若AD=6,DE=5,则CD的长等于 .
(8分)如图所示的方格纸中每个小方格都是边长为1个单位长度的正方形,在平面直角坐标系中,已知点A(1,0),B(4,0),C(3,3),D(1,4).
(1)描出A、B、C、D、四点的位置,并顺次连接ABCD;
(2)四边形ABCD的面积是________.
(3)把四边形ABCD向左平移5个单位,再向上平移1个单位得到四边形A′B′C′D′,写出点A′、B′、C′、D′的坐标.
在平面直角坐标系中,已知点A(﹣4,0)和B(0,2),现将线段AB沿着直线AB平移,使点A与点B重合,则平移后点B坐标是( )
A. (0,﹣2) B. (4,6) C. (4,4) D. (2,4)
如图,用锤子以相同的力将铁钉垂直钉入木块,随着铁钉的深入,铁钉所受的阻力也越来越大.当未进入木块的钉子长度足够时,每次钉入木块的钉子长度是前一次.已知这个铁钉被敲击3次后全部进入木块(木块足够厚),且第一次敲击后铁钉进入木块的长度是2cm,若铁钉总长度为acm,求a的取值范围.
当x__时,式子3x﹣5的值大于5x+3的值.
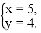
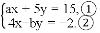
甲、乙两人共同解方程组由于甲看错了方程①中的a,得到方程组的解为乙看错了方程②中的b,得到方程组的解为试计算a2 013+(-b)2 014.
下列方程中,是二元一次方程的是( )
A. 3x-2y=4z B. 6xy+9=0 C. D. 4x=
用代入法解方程组:
(1) (2)