题目内容
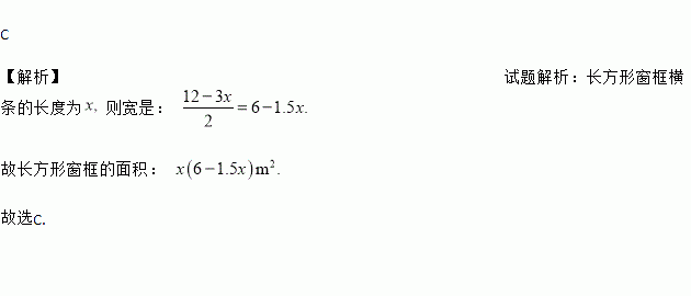
用12m长的铝合金做成一个长方形的窗框(如图),设长方形窗框横条的长度为x(m),则长方形窗框的面积为( )
![]()
A. x(12-x) m2 B. x(6-x) m2 C. x(6-1.5x) m2 D. x(6-2x) m2
C 【解析】试题解析:长方形窗框横条的长度为则宽是: 故长方形窗框的面积: 故选C.
练习册系列答案
相关题目
题目内容
用12m长的铝合金做成一个长方形的窗框(如图),设长方形窗框横条的长度为x(m),则长方形窗框的面积为( )
![]()
A. x(12-x) m2 B. x(6-x) m2 C. x(6-1.5x) m2 D. x(6-2x) m2
C 【解析】试题解析:长方形窗框横条的长度为则宽是: 故长方形窗框的面积: 故选C.