题目内容
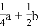
二次函数y=ax2+bx+c(a≠0)图象如图,下列结论:
①abc>0;②3a+c<0;③a+b≥am2+bm;④a﹣b+c>0;⑤若ax12+bx1=ax22+bx2,且x1≠x2,则x1+x2=2.
其中正确的有( )个.
![]()
A. 2 B. 3 C. 4 D. 5
练习册系列答案
相关题目
题目内容
二次函数y=ax2+bx+c(a≠0)图象如图,下列结论:
①abc>0;②3a+c<0;③a+b≥am2+bm;④a﹣b+c>0;⑤若ax12+bx1=ax22+bx2,且x1≠x2,则x1+x2=2.
其中正确的有( )个.
![]()
A. 2 B. 3 C. 4 D. 5