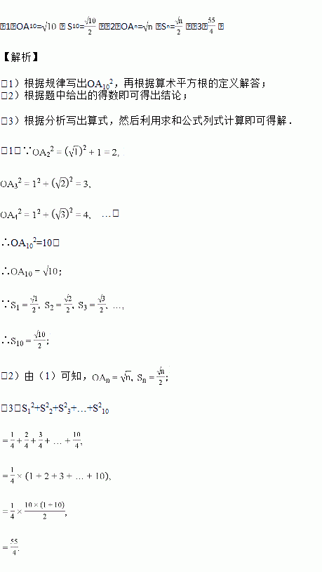
题目内容
细心观察图形,认真分析各式,然后回答问题:
(1)推算出OA10的长和S10的值.
(2)直接用含n(n为正整数)的式子表示OAn的长和Sn的值.
(3)求S12+S22+S32+…+S102的值.
百货商店服装柜在销售中发现:某品牌童装平均每天可售出20件,每件盈利40元.为了迎接“六一”国际儿童节,商场决定采取适当的降价措施,扩大销售量,增加盈利,尽快减少库存.经市场调查发现:如果每件童装降价4元,那么平均每天就可多售出8件.要想平均每天销售这种童装盈利1200元,那么每件童装应降价多少元?
下列条件中,不能判断一个三角形是直角三角形的是( )
A. 三个角的比为1:2:3 B. 三条边满足关系a2=b2﹣c2
C. 三条边的比为1:2:3 D. 三个角满足关系∠B+∠C=∠A
如图,直线y=kx+b(k≠0)与抛物线y=ax2(a≠0)交于A,B两点,且点A的横坐标是﹣2,点B的横坐标是3,则以下结论:
①抛物线y=ax2(a≠0)的图象的顶点一定是原点;
②x>0时,直线y=kx+b(k≠0)与抛物线y=ax2(a≠0)的函数值都随着x的增大而增大;
③AB的长度可以等于5;
④△OAB有可能成为等边三角形;
⑤当﹣3<x<2时,ax2+kx<b,
其中正确的结论是( )
A. ①②④ B. ①②⑤ C. ②③④ D. ③④⑤
正方形ABCD在直角坐标系中的位置如图所示,将正方形ABCD绕点A按顺时针方向旋转180°后,C点的坐标是( )
A. (2,0) B. (3,0) C. (2,-1) D. (2,1)
在数轴上画出表示的点.(要画出作图痕迹)
如图①所示是一个由传感器A控制的灯,要装在门上方离地高4.5m的墙上,任何东西只要移至该灯5m及5m以内时,灯就会自动发光.若一个身高1.5m的学生(如图②所示的CD)由远处向门走进,要使灯刚好发光,离门的距离为( )
A. 4m B. 3m C. 5m D. 7m
多项式2x3+3x4﹣3x+1中有_____项,其中最高次项是_____.
解方程:x2﹣2x=8.