题目内容
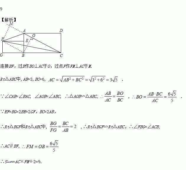
如图,矩形ABCD中,AB=3cm,AD=6cm,点E为AB边上的任意一点,四边形EFGB也是矩形,且EF=2BE,则S△AFC=__________cm2.
计算:______.
先化简,再求值: ,其中a是方程x2+x=6的一个根.
下列计算,正确的是( )
A. a2﹣a=a B. a2•a3=a6 C. a9÷a3=a3 D. (a3)2=a6
随着科技与经济的发展,中国廉价劳动力的优势开始逐渐消失,而作为新兴领域的机器人产业则迅速崛起,机器人自动化线的市场也越来越大,并且逐渐成为自动化生产线的主要方式,某化工厂要在规定时间内搬运1200千元化工原料.现有A,B两种机器人可供选择,已知A型机器人比B型机器人每小时多搬运30千克,A型机器人搬运900千克所用的时间与B型机器人搬运600千克所用的时间相等.
(1)两种机器人每小时分别搬运多少化工原料?
(2)该工厂原计划同时使用这两种机器人搬运,工作一段时间后,A型机器人又有了新的搬运任务,但必须保证这批化工原料在11小时内全部搬运完毕.求:A型机器人至少工作几个小时,才能保证这批化工原料在规定的时间内完成.
如图,已知直线∥,∠1=120°,则∠的度数是 °.
关于关于x的一元二次方程x2+x-2=0的根的情况是( )
A. 有两个不相等的实数根 B. 有两个相等的实数根 C. 无实数根 D. 无法判断
在式子中,x的取值范围是__________________.
如图,正方形ABCD的面积为12,△ABE是等边三角形,点E在正方形ABCD内,F是CD上一点,DF=1,在对角线AC上有一点P,连接PE,PF,则PE+PF的最小值为_____.