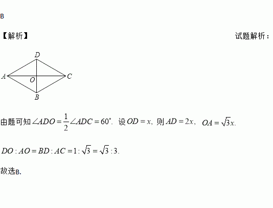
题目内容
在菱形ABCD中,若∠ADC=120°,则BD:AC等于 ( )
A. :2 B. :3 C. 1:2 D. :1
(2016山东省临沂市)为了解某校九年级学生的身高情况,随机抽取部分学生的身高进行调查,利用所得数据绘成如图统计图表:
频数分布表
(1)填空:a= ,b= ;
(2)补全频数分布直方图;
(3)该校九年级共有600名学生,估计身高不低于165cm的学生大约有多少人?
若不等式(2k+1)x<2k+1的解集是x>1,求k的取值范围.
如果a<b , 那么下列不等式中一定正确的是()
A. a﹣2b<﹣b B. a2<ab C. ab<b2 D. a2<b2
矩形、菱形、正方形都具有的性质是( )
A. 对角线相等 B. 对角线平分一组对角 C. 对角线互相平分 D. 对角线互相垂直
菱形有_______条对称轴,对称轴之间具有___________的位置关系.
已知矩形ABCD,若它的宽扩大2倍,且它的长缩小四分之一,那么新矩形的面积等于原矩形ABCD面积的____________.
如图是利用平面直角坐标系画出的故宫博物院的主要建筑分布图,若这个坐标系分别以正东、正北方向为x轴、y轴的正方向,表示太和门的点的坐标为(0,-1),表示九龙壁的点的坐标为(4,1),则表示下列宫殿的点的坐标正确的是( )
A. 景仁宫(4,2) B. 养心殿(-2,3)
C. 保和殿(1,0) D. 武英殿(-3.5,-4)
根据图中提供的信息,可知一个杯子的价格是( )
A. 51元 B. 35元 C. 8元 D. 7.5元