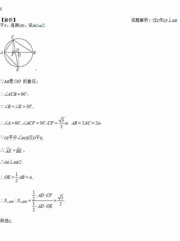
题目内容
如图,△ABC内接于⊙O,AB是⊙O的直径,CE平分∠ACB交⊙O于E,∠E=30°,交AB于点D,连接AE,则S△ADC∶S△ADE的比值为( )
A. B. C. D. 1
把下列不等式化成“x>a”或“x≥a”或“x<a”或“x≤a”的形式:
(1)x-10<-6;(2)x>-2;(3) x>-3;(4)1-x≥2+x.
一次模拟考试后,数学陈老师把一班的数学成绩制成如图的统计图,并给了几个信息:①前两组的百分比之和是14%;②第一组的百分比是2%;③自左到右第二、三、四组的频数比为3∶9∶8,然后布置学生(也请你一起)结合统计图完成下列问题:
(1)全班学生是多少人?
(2)成绩不少于90分为优秀,那么全班成绩的优秀率是多少?
如图,AB为⊙O的直径,点C为半圆上一点,AD平分∠CAB交⊙O于点D
(1) 求证:OD∥AC
(2) 若AC=8,AB=10,求AD
已知,同一平面内存在⊙O和点P,点P与⊙O上的点的最大距离为8、最小距离为2,则⊙O的半径为___________
已知方程2x2-x-1=0两根分别是x1和x2,则x1+x2的值等于( )
A. 2 B. C. D. -1
王霞和爸爸、妈妈到人民公园游玩,回到家后,她利用平面直角坐标系画出了公园的景区地图,如图所示.可是她忘记了在图中标出原点和x轴.y轴.只知道游乐园D的坐标为(2,﹣2),请你帮她画出坐标系,并写出其他各景点的坐标.
点P(m+3, m+1)在直角坐标系的x轴上,则点P坐标为 ( )
A. (0,-2) B. ( 4,0) C. ( 2,0) D. (0,-4)
方程组的解为负数,求a的范围.