题目内容
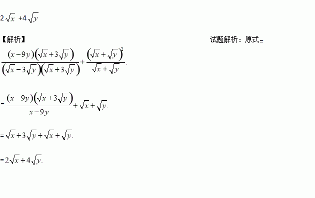
化简+
如图,△ABC≌△A’B’C’其中∠A=36°,∠C’=24°,则∠B=_______.
关于x的方程kx2+(k+2)x+=0有两个不相等的实数根;
(1)求k的取值范围;
(2)是否存在实数k,使方程的两个实数根的倒数和等于0?若存在,求出k的值;若不存在,请说明理由.
如图,正方形ABCD的对角线AC是菱形AEFC的一边,则∠FAB等于( )
A. 135° B. 45° C. 22.5° D. 30°
已知关于x的一元二次方程(m﹣1)x2﹣(2m﹣1)x+m+1=0(m为常数)有两个实数根,求m的取值范围.
若x=1是方程ax2+bx+c=0的解,则( )
A. a+b+c=1 B. a-b+c=0
C. a+b+c=0 D. a-b-c=0
方程3x2=4x的根是 .
如图,∠BAC的平分线与BC的垂直平分线相交于点D,DE⊥AB,DF⊥AC,垂足分别为E、F,AB=6,AC=3,求BE的长.
如图,在△ABC中,AB=AC,BD⊥AC,CE⊥AB,D、E为垂足,BD与CE交于点O,则图中全等三角形共有_________对.