题目内容

如图,在平面直角坐标系中,二次函数y=ax2+6x+c的图象经过点A(4,0)、B(﹣1,0),与y轴交于点C,点D在线段OC上,OD=t,点E在第二象限,∠ADE=90°,tan∠DAE=,EF⊥OD,垂足为F.
(1)求这个二次函数的解析式;
(2)求线段EF、OF的长(用含t的代数式表示);
(3)当∠ECA=∠OAC时,求t的值.
(图文不相符)

解:(1)二次函数y=ax2+6x+c的图象经过点A(4,0)、B(﹣1,0),
,解得
∴这个二次函数的解析式为:y=﹣2x2+6x+8。
(2)∵∠EFD=∠EDA=90°,∴∠DEF+∠EDF=90°,∠EDF+∠ODA=90°。∴∠DEF=∠ODA。
∴△EDF∽△DAO。∴
,∴
∵OD=t,∴,∴EF=
同理,∴DF=2,∴OF=t﹣2。
(3)∵抛物线的解析式为:y=﹣2x2+6x+8,∴C(0,8),OC=8。
如图,连接EC、AC,过A作EC的垂线交CE于G点.

∵∠ECA=∠OAC,∴∠OAC=∠GCA(等角的余角相等)。
在△CAG与△OCA中,
∵∠OAC=∠GCA,AC=CA,∠ECA=∠OAC,
∴△CAG≌△OCA(ASA)。∴CG=AO=4,AG=OC=8。
如图,过E点作EM⊥x轴于点M,
则在Rt△AEM中,EM=OF=t﹣2,AM=OA+AM=OA+EF=4+
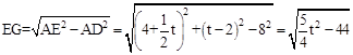
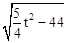
由勾股定理得:
在Rt△AEG中,由勾股定理得:
在Rt△ECF中,EF=,CF=OC﹣OF=10﹣t,CE=CG+EG=4+
由勾股定理得:EF2+CF2=CE2,即
解得t1=10(不合题意,舍去),t2=6。
∴t=6。

解析

练习册系列答案
相关题目

违法和不良信息举报电话:027-86699610 举报邮箱:58377363@163.com

精英家教网