题目内容
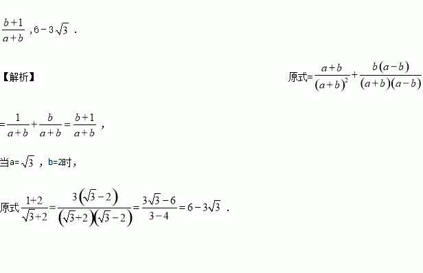
当=,b=2时,求代数式的值.
如图,用直尺和圆规作一个角等于已知角的示意图如图所示,则说明的依据是__________.
(1)如图1,∠MAN=90°,射线AE在这个角的内部,点B、C分别在∠MAN的边AM、AN上,且AB=AC,CF⊥AE于点F,BD⊥AE于点D.求证:△ABD≌△CAF;
(2)如图2,点B、C分别在∠MAN的边AM、AN上,点E、F都在∠MAN内部的射线AD上,∠1、∠2分别是△ABE、△CAF的外角.已知AB=AC,且∠1=∠2=∠BAC.求证:△ABE≌△CAF;
(3)如图3,在△ABC中,AB=AC,AB>BC.点D在边BC上,CD=2BD,点E、F在线段AD上,∠1=∠2=∠BAC.若△ABC的面积为15,求△ACF与△BDE的面积之和.
等腰三角形的对称轴是______.
如图,AE∥DF,AE=DF,要使△EAC≌△FDB,需要添加下列选项中的( )
A. AB=CD B. EC=BF C. ∠A=∠D D. AB=BC
若=3,则=____________.
已知公式(R1≠R2),则表示R1的公式是( )
A. R1= B. R1= C. R1= D. R1=
|3.14﹣π|的值为( )
A. 0 B. 3.14﹣π C. π﹣3.14 D. 0.14
地图上标有甲地海拔高度为30米,乙地海拔高度为-20米,二者相差( )米。
A. 10米 B. -10米 C. -50米 D. 50米