题目内容
如图,已知抛物线的顶点坐标为M(1,4),且经过点N(2,3),与x轴交于A、B两点(点A在点B左侧),与y轴交于点C.(1)求抛物线的解析式及点A、B、C的坐标;
(2)若直线y=kx+t经过C、M两点,且与x轴交于点D,试证明四边形CDAN是平行四边形;
(3)点P在抛物线的对称轴x=1上运动,请探索:在x轴上方是否存在这样的P点,使以P为圆心的圆经过A、B两点,并且与直线CD相切?若存在,请求出点P的坐标;若不存在,请说明理由.
【答案】分析:(1)根据题意中,抛物线的顶点坐标与N的坐标,可得抛物线的解析式,进而可得点A、B、C的坐标;
(2)分别求出过DM的直线,与过点AN的直线方程,可得DM与AN平行,且易得DM与AN相等;故四边形CDAN是平行四边形;
(3)首先假设存在,根据题意,题易得:△MDE为等腰直角三角形,进而可求得P的坐标,故存在P.
解答:(1)解:由抛物线的顶点是M(1,4),
设解析式为y=a(x-1)2+4(a<0)
又抛物线经过点N(2,3),
所以3=a(2-1)2+4,
解得a=-1
所以所求抛物线的解析式为y=-(x-1)2+4=-x2+2x+3
令y=0,得-x2+2x+3=0,
解得:x1=-1,x2=3,
得A(-1,0)B(3,0);
令x=0,得y=3,
所以C(0,3).
(2)证明:直线y=kx+t经过C、M两点,
所以
即k=1,t=3,
直线解析式为y=x+3.
令y=0,得x=-3,
故D(-3,0),即OD=3,又OC=3,
∴在直角三角形COD中,根据勾股定理得:CD=
=
.
连接AN,过N做x轴的垂线,垂足为F.
设过A、N两点的直线的解析式为y=mx+n,
则
,
解得m=1,n=1
所以过A、N两点的直线的解析式为y=x+1
所以DC∥AN.在Rt△ANF中,AF=3,NF=3,
所以AN=
,
所以DC=AN.
因此四边形CDAN是平行四边形.
(3)解:假设在x轴上方存在这样的P点,使以P为圆心的圆经过A、B两点,并且与直线CD相切,
设P(1,u)其中u>0,
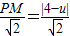
则PA是圆的半径且PA2=u2+22过P做直线CD的垂线,垂足为Q,则PQ=PA时以P为圆心的圆与直线CD相切.
由第(2)小题易得:△MDE为等腰直角三角形,故△PQM也是等腰直角三角形,
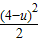
由P(1,u)得PE=u,PM=|4-u|,PQ=
由PQ2=PA2得方程:
=u2+22,
解得
,舍去负值u=
,符合题意的u=
,
所以,满足题意的点P存在,其坐标为(1,
).
点评:本题考查学生将二次函数的图象与解析式相结合处理问题、解决问题的能力.
(2)分别求出过DM的直线,与过点AN的直线方程,可得DM与AN平行,且易得DM与AN相等;故四边形CDAN是平行四边形;
(3)首先假设存在,根据题意,题易得:△MDE为等腰直角三角形,进而可求得P的坐标,故存在P.
解答:(1)解:由抛物线的顶点是M(1,4),
设解析式为y=a(x-1)2+4(a<0)
又抛物线经过点N(2,3),
所以3=a(2-1)2+4,
解得a=-1
所以所求抛物线的解析式为y=-(x-1)2+4=-x2+2x+3
令y=0,得-x2+2x+3=0,
解得:x1=-1,x2=3,
得A(-1,0)B(3,0);
令x=0,得y=3,
所以C(0,3).
(2)证明:直线y=kx+t经过C、M两点,
所以
即k=1,t=3,
直线解析式为y=x+3.
令y=0,得x=-3,
故D(-3,0),即OD=3,又OC=3,
∴在直角三角形COD中,根据勾股定理得:CD=
连接AN,过N做x轴的垂线,垂足为F.
设过A、N两点的直线的解析式为y=mx+n,
则
解得m=1,n=1
所以过A、N两点的直线的解析式为y=x+1
所以DC∥AN.在Rt△ANF中,AF=3,NF=3,
所以AN=
所以DC=AN.
因此四边形CDAN是平行四边形.
(3)解:假设在x轴上方存在这样的P点,使以P为圆心的圆经过A、B两点,并且与直线CD相切,
设P(1,u)其中u>0,
则PA是圆的半径且PA2=u2+22过P做直线CD的垂线,垂足为Q,则PQ=PA时以P为圆心的圆与直线CD相切.
由第(2)小题易得:△MDE为等腰直角三角形,故△PQM也是等腰直角三角形,
由P(1,u)得PE=u,PM=|4-u|,PQ=
由PQ2=PA2得方程:
解得
所以,满足题意的点P存在,其坐标为(1,
点评:本题考查学生将二次函数的图象与解析式相结合处理问题、解决问题的能力.
练习册系列答案
相关题目