题目内容
如图①,在边长为a的大正方形中剪去一个边长为b的小正方形,再将图中的阴影部分剪拼成一个长方形,如图②.这个拼成的长方形的长为30,宽为20.则图②中Ⅱ部分的面积是________.
甲接到120个零件的任务,工作1小时后,因要提前完成任务,调来乙与甲合作,共同做了3小时后完成.已知甲每小时比乙少做5个零件,则甲、乙每小时分别做______个,______个零件。
一张方桌由1个桌面,4条桌腿组成,如果1m3木料可以做方桌的桌面50个或做桌腿300条,现有10m3木料,那么用多少立方米的木料做桌面,多少立方米的木料做桌腿,做出的桌面与桌腿,恰好能配成方桌?能配成多少张方桌.
已知x,y满足方程组,则无论m取何值,x,y恒有关系式是( )
A. x+y=1 B. x+y=-1 C. x+y=9 D. x+y=-9
小明和小刚同时解方程组根据小明和小刚的对话,试求a,b,c的值.
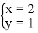
已知是二元一次方程组的解, 则m+3n的立方根为______.
如果二元一次方程组的解是二元一次方程2x-3y+12=0的一个解,那么a的值是( )
A. B. - C. D. -
若为有理数,则下列结论正确的是( )
A. B. C. D.
如图,直线y=x+2与反比例函数y=的图象在第一象限交于点P.若OP=,则k的值为________.