题目内容
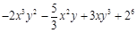
多项式
是_____次_____项式,其中系数最小的项是_________,按x的降幂排列____________________________________________.
五,四,
,
解析
练习册系列答案
相关题目
题目内容
多项式
是_____次_____项式,其中系数最小的项是_________,按x的降幂排列____________________________________________.
五,四,
,
解析