题目内容
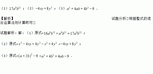
计算:(1);
(2);
(3).
已知三角形的两边长是4和6,第三边的长是方程的根,则此三角形的周长为( )
A. 10 B. 12 C. 14 D. 12或14
已知二次函数y=x2+2x+m的图象过点A(3,0).
(1)求m的值;
(2)当x取何值时,函数值y随x的增大而增大.
二次函数y=ax2+bx+c与一次函数y= ax+c,它们在同一直角坐标系中的图像为( )
A. B. C. D.
观察下列关于自然数的等式:
①
②
③
… …
根据上述规律解决下列问题:
(1)完成第四个等式: ²= ;
(2)写出你猜想的第n个等式(用含n的式子表示),并验证其正确性.
如果多项式加上一个单项式后,能成为一个整式的完全平方式,那么加上的单项式可以是________(填上两个你认为正确的答案即可).
数学活动课上,每个小组都有若干张面积分别为、、的正方形纸片和长方形纸片,莉莉从中抽取了1张面积为的正方形纸片和6张面积为的长方形纸片.若她想拼成一个大正方形,则还需要抽取面积为的正方形纸片( )
A. 3张 B. 6张 C. 9张 D. 12张
如图,正方形ABCD的对角线长为8,E为AB上一点,若EF⊥AC于F,EG⊥BD于G,则EF+EG=( )
A. 4 B. 8 C. 8 D. 4
一个四边形的周长为48cm,已知第一条边长acm,第二条边比第一条边的2倍长3cm,第三条边等于第一,第二两条边的和.
(1)求出表示第四条边长的式子;
(2)当a=3cm时,还能得到四边形吗?请简要说明理由.